本站
站群
首页
首页
新闻中心
政务公开
工作动态
办事服务
专题专栏
政务咨询
您当前所在位置:
首页
>
市统计局
>
统计领域
>
统计数据
>
经济社会发展统计信息
>
统计信息
索
引
号:
003083542/202602-00003
信息分类:
统计信息
内容分类:
财政、金融、审计、税务,其他
发布日期:
2026-02-24
发布机构:
市统计局
文
号:
名
称:
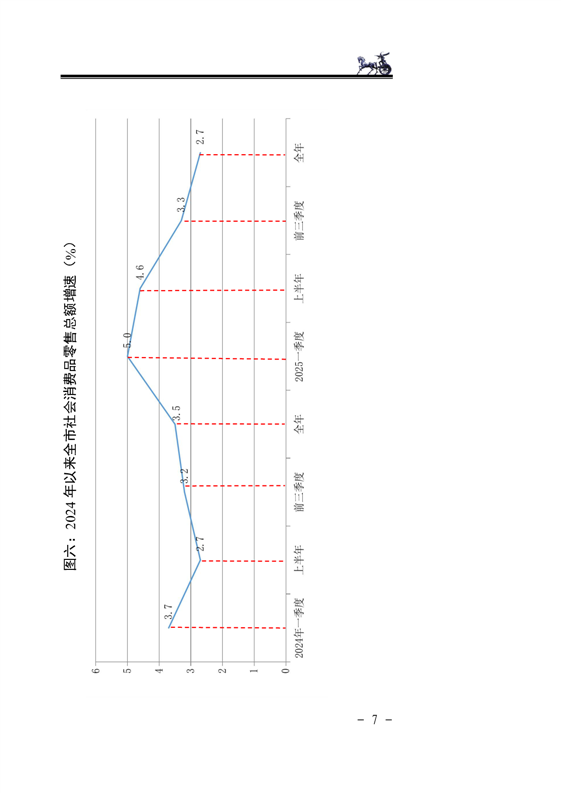
【月度经济运行监测】淮北市2025年1-12月份月度经济运行监测
关
键
词:
有效期至:
索
引
号:
003083542/202602-00003
信息分类:
统计信息
内容分类:
财政、金融、审计、税务,其他
发文日期:
2026-02-24
发布机构:
市统计局
文
号:
关
键
词:
名
称:
【月度经济运行监测】淮北市2025年1-12月份月度经济运行监测
【月度经济运行监测】淮北市2025年1-12月份月度经济运行监测
浏览次数:
信息来源: 市统计局
发布时间:2026-02-24 16:12
字号:
大
中
小
分享到: